按收入来源分解基尼系数的工具
今天推出一个小工具,按收入来源分解基尼系数。
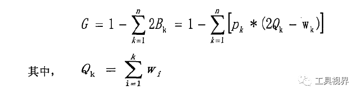
由于学界对基尼系数的计算没有统一,有很多方法可以计算基尼系数,但是大多比较复杂,在此基础上,1999年诺丁汉大学的姚树洁提出了一种新的计算方法,公式如下:

其中,n表示全省一共n个县城,Pk表示第k个县城的人口在全省人口总数中的份额,Wk为第k个县城收入在全省县级收入总额中的比重,Qk是第一个县累积到第k个县的收入比重之和。在按上述公式计算基尼系数的时候,应该按照各个县城财力大小由小到大排序。
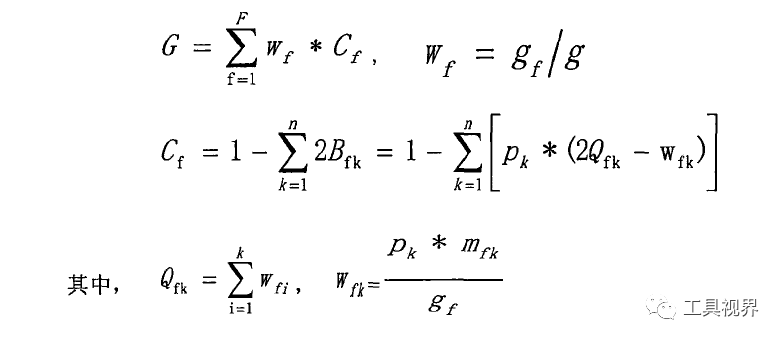
姚树洁提出了按照收入来源分解基尼系数的方法,简单明了,计算方便,最大的优势在于对不均等分组同样适用。公式如下:

假设全省一共n个县,mk,pk分别为第k个县的人均收入和人口比重,把所有县城按照mk的升序排列。如果k个县城的总收入来源于f种收入,则基尼系数可以按照这些来源分解为F个部分。Wf为第f种收入在所有收入额中的占比,gf为第f种来源的人均值,g为全部收入的人均值,Cf表示f收入来源的集中率。Qfk是第f种收入从第1个县城累积到k个县城的合计数在全部收入中的占比,Wfk是第k个县的第f种收入在全部县f来源总和中的份额,mfk是第k个县f来源的人均值。
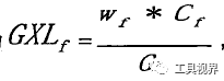
不同收入来源对总的基尼系数贡献率为:

工具界面如下:

只需要输入收入来源数,就可以自动生成结果文件。工具提供三种结果,基尼系数、集中率,不同收入来源对总基尼系数的贡献率。
支持分解任意多种的收入来源,一年还是多年数据都可以一键生成结果。
如下:

需要可以联系微信,canglang12002
祝大家国庆快乐!
往期推荐:
含有非期望产出的ZSG-DEA模型
本博客所有文章除特别声明外,均采用 CC BY-NC-SA 4.0 许可协议。转载请注明来自 工具视界!
评论

